Hubungan Koordinat Kartesius dengan Koordinat Polar (Kutub)
Hubungan antara koordinat kartesius dan koordinat polar ditunjukan dengan jarak titik asal O (0,0) dengan titik P (x, y). Jarak tersebut dapat dinamakan dengan jarak r. Untuk memperoleh nilai r tersebut dapat menggunakan rumus di bawah ini:
Kemudian koordinat kartesius dan koordinat polar akan menghasilkan sebuah sudut α. Sudut α ialah sudut yang terletak diantara garis hubung P terhadap titik O (0,0) dengan sumbu X positif. Namun perhitungannya berlawanan arah dengan arah pada jarum jam. Titik P tersebut dapat dinyatakan dalam bentuk koordinat kutub yaitu P (r, α).
Koordinat kartesius dengan koordinat polar dapat digambar menjadi grafik seperti di bawah ini:
Titik pusat pada koordinat kutub memiliki letak titik P yang dapat digambarkan dengan (r, α). r menunjukan jarak OP, sedangkan α menunjukan sudut antara sumbu OX positif dengan OP. Untuk itu perhitungan besar sudut α berawal dari sumbu OX positif dan berputar berkebalikan dengan arah jarum jam.
Persamaan dan Perbedaan Koordinat Kartesius Dengan Koordinat Polar
Persamaan antara kartesius dengan polar ialah sama sama termasuk koordinat Matematika. Namun jika ditinjau dari segi perbedaannya, maka dapat anda perhatikan penjelasan masing masing koordinat yaitu meliputi:
Koordinat Kartesius
Peletakkan titik P pada kartesius dapat ditunjukan dalam bentuk himpunan pasangan berurutan yakni P (x, y), dimana :
- Koordinat x disebut absis, yakni jarak antara titik menuju sumbu Y.
- Koordinat y disebut ordinat, yakni jarak antara titik menuju sumbu X.
Koordinat Polar (Kutub)
Letak P pada koordinat kutub dapat digambarkan dalam bentuk ukuran jarak r dengan sudut α. Dimana:
- Jarak r ialah jarak anatara titik P (x, y) menuju titik asal O (0,0). Untuk memperoleh besar jarak r dapat menggunakan rumus pythagoras yakni r² = x² + y².
- Titik P pada koordinat kutub dapat digambarkan dalam bentuk P (r, α).
- Sudut α ialah sudut yang dibentuk antara garis hubung pada titik P terkadap titik O (0,0) dengan sumbu X positif, dimana peritungan arahnya berkebalikan dengan arah jarum jam.
Mengubah Koordinat Kartesius Menjadi Koordinat Polar
Dalam mengubah koordinat kartesius menjadi koordinat polar dapat dilakukan dengan membuat sebuah grafik yang menghubungkan kedua koordinat Matematika tersebut. Jika keduanya digabungkan dalam satu koordinat, maka akan membentuk sebuah segitiga siku siku dimana panjang sisinya berupa sisi x, y dan r. Untuk memperoleh jarak r dapat menggunakan konsep teorema pythagoras yakni:
Selain menerapkan konsep teorema pythagoras, tetapi juga menerapkan perbandingan trigonometri seperti di bawah ini:
Kesimpulan:
Untuk mengubah koordinat kartesius (x, y) menjadi koordinat polar (r, α), maka menggunakan aturan seperti di bawah ini:
Mengubah Koordinat Polar Menjadi Koordinat Kartesius
Dalam mengubah koordinat polar menjadi koordinat kartesius dapat dilakukan dengan membuat sebuah grafik yang menghubungkan kedua koordinat Matematika tersebut. Jika keduanya digabungkan dalam satu koordinat, maka akan membentuk sebuah segitiga siku siku dimana panjang sisinya berupa sisi x, y dan r. Dalam mengubah koordinat kutub menjadi kartesius pada dasarnya menggunakan konsep perbandingan trigonometri seperti di bawah ini:
Kesimpulan:
Untuk mengubah koordinat polar (r, α) menjadi koordinat kartesius (x, y), maka menggunakan aturan seperti di bawah ini:
Contoh Soal:
1. Nyatakan titik-titik berikut ini kedalam koordinat kutub atau koordinat kartesius (sesuai dengan yang diketahui).
a. P(4,4)
b. P(6,120° )
Penyelesaian: a. P(4,4)
Jadi koordinat kutubnya adalah P(4√2,45°)
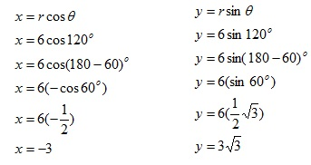
b. P(6,120°)
Jadi koordinat titik P(-3.3√3)
Daftar Pustaka
Kahfi.bilal.2021."Mengenal Koordinat Kartesius dan Polar dalam Matematika"http://www.antotunggal.com/2021/10/mengenal-koordinat-kartesius-dan-polar.html#.diakses pada tanggal 17 Januari 2022
Sumberbelajar."Mengkonversi Koordinat Cartesius ke Koordinat Kutub (Polar)"https://sumberbelajar.seamolec.org/Media/Dokumen/59c1c6b6865eacac04e3cd2a/c2f20d6ff4bc0d4a3bcd7a20a291ad09.pdf.diakses pada tanggal 17 Januari 2022




Tidak ada komentar:
Posting Komentar